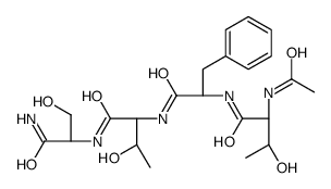
| Name | (2S,3R)-2-acetamido-N-[(2S)-1-[[(2S,3R)-1-[[(2S)-1-amino-3-hydroxy-1-oxopropan-2-yl]amino]-3-hydroxy-1-oxobutan-2-yl]amino]-1-oxo-3-phenylpropan-2-yl]-3-hydroxybutanamide |
|---|---|
| Synonyms | L-Serinamide,N-acetyl-L-threonyl-L-phenylalanyl-L-threonyl |
| Molecular Formula | C22H33N5O8 |
|---|---|
| Molecular Weight | 495.52600 |
| Exact Mass | 495.23300 |
| PSA | 235.13000 |
| LogP | 0.93830 |