Top Suppliers:I want be here
Related CAS#:

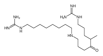
98330-00-8

98330-00-8 structure
98330-00-8 structure

Name 2-[8-[[8-(diaminomethylideneamino)-5-methyl-4-oxooctyl]amino]octyl]guanidine
Synonyms 2-(8-(8-(Diaminomethylideneamino)octylamino)-4-methyl-5-oxooctyl)guanidine
Molecular Formula C19H41N7O
Molecular Weight 383.57500
Exact Mass 383.33700
PSA 152.90000
LogP 4.42110
The content on this webpage is sourced from various professional data sources. If you have any questions or concerns regarding the content, please feel free to contact service1@chemsrc.com.