62568-63-2

62568-63-2 structure
62568-63-2 structure

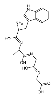
Name 2-[[2-[[(2S)-2-[[(2S)-2-amino-3-(1H-indol-3-yl)propanoyl]amino]propanoyl]amino]acetyl]amino]acetic acid
Synonyms Glycine,N-[N-(N-L-tryptophyl-L-alanyl)glycyl]
Molecular Formula C18H23N5O5
Molecular Weight 389.40600
Exact Mass 389.17000
PSA 176.88000
LogP 2.08060
The content on this webpage is sourced from various professional data sources. If you have any questions or concerns regarding the content, please feel free to contact service1@chemsrc.com.