Top Suppliers:I want be here

172040-93-6

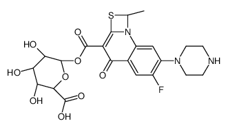
172040-93-6 structure
172040-93-6 structure
  • Name: Ulifloxacin
  • Chemical Name: Ulifloxacin
  • CAS Number: 172040-93-6
  • Molecular Formula: C22H24FN3O9S
  • Molecular Weight: 525.50400
  • Create Date: 2017-03-21 16:42:47
  • Modify Date: 2025-08-26 13:57:14

Name Ulifloxacin
Synonyms (2S,3S,4S,5R,6S)-6-(6-fluoro-1-methyl-4-oxo-7-piperazin-1-yl-1H-[1,3]thiazeto[3,2-a]quinoline-3-carbonyl)oxy-3,4,5-trihydroxyoxane-2-carboxylic acid
Molecular Formula C22H24FN3O9S
Molecular Weight 525.50400
Exact Mass 525.12200
PSA 196.09000
The content on this webpage is sourced from various professional data sources. If you have any questions or concerns regarding the content, please feel free to contact service1@chemsrc.com.