827322-95-2

827322-95-2 structure
827322-95-2 structure
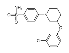
  • Name: 4-[3-(3-chlorophenoxy)piperidin-1-yl]benzenesulfonamide
  • Chemical Name: 4-[3-(3-chlorophenoxy)piperidin-1-yl]benzenesulfonamide
  • CAS Number: 827322-95-2
  • Molecular Formula: C17H19ClN2O3S
  • Molecular Weight: 366.86200
  • Create Date: 2016-05-05 07:57:40
  • Modify Date: 2024-02-20 16:32:08

Name 4-[3-(3-chlorophenoxy)piperidin-1-yl]benzenesulfonamide
Molecular Formula C17H19ClN2O3S
Molecular Weight 366.86200
Exact Mass 366.08000
PSA 81.01000
LogP 4.88130
The content on this webpage is sourced from various professional data sources. If you have any questions or concerns regarding the content, please feel free to contact service1@chemsrc.com.