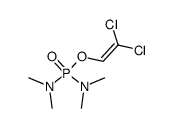
tetramethyl-diamidophosphoric acid-(2,2-dichloro-vinyl ester)

Modify Date: 2023-08-22 19:50:05

tetramethyl-diamidophosphoric acid-(2,2-dichloro-vinyl ester) Structure
tetramethyl-diamidophosphoric acid-(2,2-dichloro-vinyl ester) structure
Common Name tetramethyl-diamidophosphoric acid-(2,2-dichloro-vinyl ester)
CAS Number 15648-19-8 Molecular Weight 247.05900
Density N/A Boiling Point N/A
Molecular Formula C6H13Cl2N2O2P Melting Point N/A
MSDS N/A Flash Point N/A

 Names

Name tetramethyl-diamidophosphoric acid-(2,2-dichloro-vinyl ester)
Synonym More Synonyms

 Chemical & Physical Properties

Molecular Formula C6H13Cl2N2O2P
Molecular Weight 247.05900
Exact Mass 246.00900
PSA 42.59000
LogP 2.51080

 Synonyms

Phosphorsaeure-(2,2-dichlor-vinylester)-bis-dimethylamid
Tetramethyl-diamidophosphorsaeure-(2,2-dichlor-vinylester)
The content on this webpage is sourced from various professional data sources. If you have any questions or concerns regarding the content, please feel free to contact service1@chemsrc.com.