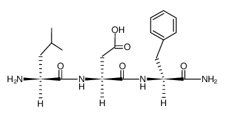
(S)-3-((S)-2-Amino-4-methyl-pentanoylamino)-N-((S)-1-carbamoyl-2-phenyl-ethyl)-succinamic acid

Modify Date: 2024-01-14 17:17:15

(S)-3-((S)-2-Amino-4-methyl-pentanoylamino)-N-((S)-1-carbamoyl-2-phenyl-ethyl)-succinamic acid Structure
(S)-3-((S)-2-Amino-4-methyl-pentanoylamino)-N-((S)-1-carbamoyl-2-phenyl-ethyl)-succinamic acid structure
Common Name (S)-3-((S)-2-Amino-4-methyl-pentanoylamino)-N-((S)-1-carbamoyl-2-phenyl-ethyl)-succinamic acid
CAS Number 38763-90-5 Molecular Weight 392.44900
Density N/A Boiling Point N/A
Molecular Formula C19H28N4O5 Melting Point N/A
MSDS N/A Flash Point N/A

 Names

Name (S)-3-((S)-2-Amino-4-methyl-pentanoylamino)-N-((S)-1-carbamoyl-2-phenyl-ethyl)-succinamic acid

 Chemical & Physical Properties

Molecular Formula C19H28N4O5
Molecular Weight 392.44900
Exact Mass 392.20600
PSA 164.61000
LogP 1.71450
The content on this webpage is sourced from various professional data sources. If you have any questions or concerns regarding the content, please feel free to contact service1@chemsrc.com.
Top Suppliers:I want be here