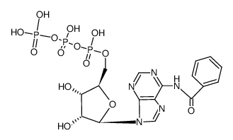
N6-benzoyl-O5'-tetrahydroxy[1]triphosphoryl-adenosine

Modify Date: 2024-02-26 11:42:20

N6-benzoyl-O5'-tetrahydroxy[1]triphosphoryl-adenosine Structure
N6-benzoyl-O5'-tetrahydroxy[1]triphosphoryl-adenosine structure
Common Name N6-benzoyl-O5'-tetrahydroxy[1]triphosphoryl-adenosine
CAS Number 58083-96-8 Molecular Weight 611.28700
Density N/A Boiling Point N/A
Molecular Formula C17H20N5O14P3 Melting Point N/A
MSDS N/A Flash Point N/A

 Names

Name N6-benzoyl-O5'-tetrahydroxy[1]triphosphoryl-adenosine
Synonym More Synonyms

 Chemical & Physical Properties

Molecular Formula C17H20N5O14P3
Molecular Weight 611.28700
Exact Mass 611.02200
PSA 311.64000
LogP 0.11410

 Synonyms

N6-Benzoyladenosin-5'-triphosphat
triphosphoric acid 1-(N6-benzoyl-adenosin-5'-yl) ester
The content on this webpage is sourced from various professional data sources. If you have any questions or concerns regarding the content, please feel free to contact service1@chemsrc.com.