pyrextramine

Modify Date: 2025-08-27 21:44:23

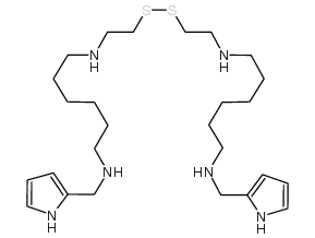
pyrextramine Structure
pyrextramine structure
Common Name pyrextramine
CAS Number 92588-09-5 Molecular Weight 508.83000
Density 1.089g/cm3 Boiling Point 684.8ºC at 760mmHg
Molecular Formula C26H48N6S2 Melting Point N/A
MSDS N/A Flash Point 367.9ºC

 Names

Name N'-(1H-pyrrol-2-ylmethyl)-N-[2-[2-[6-(1H-pyrrol-2-ylmethylamino)hexylamino]ethyldisulfanyl]ethyl]hexane-1,6-diamine
Synonym More Synonyms

 Chemical & Physical Properties

Density 1.089g/cm3
Boiling Point 684.8ºC at 760mmHg
Molecular Formula C26H48N6S2
Molecular Weight 508.83000
Flash Point 367.9ºC
Exact Mass 508.33800
PSA 130.30000
LogP 6.46720
Index of Refraction 1.572

 Synonyms

Pyrextramine
The content on this webpage is sourced from various professional data sources. If you have any questions or concerns regarding the content, please feel free to contact service1@chemsrc.com.