tripotassium pentahydrogen [ethane-1,2-diylbis[nitrilobis(methylene)]]tetrakisphosphonate

Modify Date: 2025-09-03 11:54:32

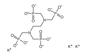
tripotassium pentahydrogen [ethane-1,2-diylbis[nitrilobis(methylene)]]tetrakisphosphonate Structure
tripotassium pentahydrogen [ethane-1,2-diylbis[nitrilobis(methylene)]]tetrakisphosphonate structure
Common Name tripotassium pentahydrogen [ethane-1,2-diylbis[nitrilobis(methylene)]]tetrakisphosphonate
CAS Number 93983-25-6 Molecular Weight 545.35600
Density N/A Boiling Point N/A
Molecular Formula C6H12K3N2O12P4 Melting Point N/A
MSDS N/A Flash Point N/A

 Names

Name tripotassium,hydron,N,N,N',N'-tetrakis(phosphonatomethyl)ethane-1,2-diamine
Synonym More Synonyms

 Chemical & Physical Properties

Molecular Formula C6H12K3N2O12P4
Molecular Weight 545.35600
Exact Mass 544.82500
PSA 298.48000
LogP 1.63680

 Synonyms

Tripotassium pentahydrogen (ethane-1,2-diylbis(nitrilobis(methylene)))tetrakisphosphonate
EINECS 301-314-3
The content on this webpage is sourced from various professional data sources. If you have any questions or concerns regarding the content, please feel free to contact service1@chemsrc.com.