cas号查询
登录
注册
化源商城
首页
我的化源
个人信息
我的求购
我的供货
快速发布求购
联系我们
English
前往化源商城
文献检索
官能团搜索
结构式搜索
搜索
供应商:
我要出现这里
暂无推荐供应商。
我要出现这里
相关CAS号:
172705-55-4
23227-62-5
107259-50-7
4694-58-0
137592-26-8
29938-47-4
105650-12-2
104443-43-8
130111-88-5
956789-69-8
1226448-09-4
1251683-91-6
1251561-89-3
1090720-67-4
1235301-08-2
1207051-17-9
1207010-08-9
1207022-55-6
1170071-25-6
1203385-15-2
172705-55-4
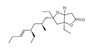
172705-55-4结构式
常用中文名:
plakortone C
常用英文名:
plakortone C
CAS号:
172705-55-4
分子式:
C
21
H
36
O
3
分子量:
336.50900
发布时间:
2018-03-14 11:30:03
更新时间:
2023-02-09 05:41:13
化源商城直购
名称
物化性质
英文名
plakortone C
分子式
C
21
H
36
O
3
分子量
336.50900
精确质量
336.26600
PSA
35.53000
LogP
5.42850
本网页内容来自不同专业数据源,如对内容有疑义,欢迎联系service1@chemsrc.com。
【172705-55-4】化源网提供CAS号/CAS登录号172705-55-4,CAS No.:172705-55-4的msds、结构式、性质、英文名、生产厂家、作用/用途、分子式/化学式、密度、沸点、熔点等。CAS号查询172705-55-4上化源网,专业又轻松。
标题:172705-55-4_CAS号:172705-55-4_CAS No.:172705-55-4 - 化源网 地址:https://m.chemsrc.com/baike/1276138.html
×
详细合成路线
×
退出
×
登录
用户名:
密 码: