cas号查询
登录
注册
化源商城
首页
我的化源
个人信息
我的求购
我的供货
快速发布求购
联系我们
English
前往化源商城
文献检索
官能团搜索
结构式搜索
搜索
供应商:
我要出现这里
暂无推荐供应商。
我要出现这里
相关CAS号:
61892-21-5
56975-77-0
50533-93-2
183-04-0
19217-52-8
6647-81-0
110288-21-6
74173-04-9
66227-83-6
71445-63-1
1701667-02-8
1505517-15-6
1601904-57-7
1598289-41-8
1599263-45-2
1697178-64-5
1595703-75-5
1690450-72-6
1693849-82-9
1600209-53-7
61892-21-5
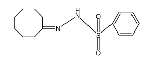
61892-21-5结构式
常用中文名:
Cyclooctanon-benzolsulfonylhydrazon
常用英文名:
Cyclooctanon-benzolsulfonylhydrazon
CAS号:
61892-21-5
分子式:
C
14
H
20
N
2
O
2
S
分子量:
280.38600
发布时间:
2018-03-07 14:08:39
更新时间:
2025-12-01 19:25:53
化源商城直购
名称
物化性质
英文名
Cyclooctanon-benzolsulfonylhydrazon
分子式
C
14
H
20
N
2
O
2
S
分子量
280.38600
精确质量
280.12500
PSA
66.91000
LogP
4.53690
本网页内容来自不同专业数据源,如对内容有疑义,欢迎联系service1@chemsrc.com。
【61892-21-5】化源网提供CAS号/CAS登录号61892-21-5,CAS No.:61892-21-5的msds、结构式、性质、英文名、生产厂家、作用/用途、分子式/化学式、密度、沸点、熔点等。CAS号查询61892-21-5上化源网,专业又轻松。
标题:61892-21-5_CAS号:61892-21-5_CAS No.:61892-21-5 - 化源网 地址:https://m.chemsrc.com/baike/1280991.html
×
详细合成路线
×
退出
×
登录
用户名:
密 码: