前往化源商城

品牌现货直购
供应商:我要出现这里

暂无推荐供应商。我要出现这里

相关CAS号:

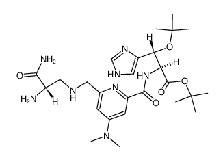
126769-33-3

126769-33-3结构式
126769-33-3结构式

化源商城直购

英文名 Nα-<6-<amino>methyl>-4-dimethylamino-pyridine-2-carbonyl>erythro-β-tert-butoxy-L-histidine tert-butyl ester
英文别名 (2S,3R)-2-({6-[((S)-2-Amino-2-carbamoyl-ethylamino)-methyl]-4-dimethylamino-pyridine-2-carbonyl}-amino)-3-tert-butoxy-3-(1H-imidazol-4-yl)-propionic acid tert-butyl ester
Nα-(6-{[N-((2S)-2-Amino-2-carbamoylethyl)amino]methyl}-4-dimethylamino-pyridine-2-carbonyl)erythro-β-tert-butoxy-L-histidine tert-butyl ester
分子式 C26H42N8O5
分子量 546.66200
精确质量 546.32800
PSA 190.58000
LogP 2.95180
本网页内容来自不同专业数据源,如对内容有疑义,欢迎联系service1@chemsrc.com。