前往化源商城

143519-54-4

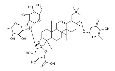
143519-54-4结构式
143519-54-4结构式
  • 常用中文名:发色皂苷I
  • 常用英文名:Chromosaponin I
  • CAS号:143519-54-4
  • 分子式:C54H84O21
  • 分子量:1069.23000
  • 发布时间:2018-06-11 17:58:30
  • 更新时间:2025-08-25 19:31:27

化源商城直购

中文名 发色皂苷I
英文名 Chromosaponin I
英文别名 Soyasaponin VI
beta-D-Glucopyranosiduronic acid, (3beta,4beta,22beta)-22-((3,4-dihydro-5-hydroxy-6-methyl-4-oxo-2H-pyran-2-yl)oxy)-23-hydroxylean-12-en-3-yl O-6-deoxy-alpha-L-mannopyranosyl-(1-2)-O-beta-D-galactopyranosyl-(1-2)-
(3beta,4beta,22beta(R))-22-((3,4-Dihydro-5-hydroxy-6-methyl-4-oxo-2H-pyran-2-yl)oxy)-23-hydroxylean-12-en-3-yl O-6-deoxy-alpha-L-mannopyranosyl-(1-2)-O-beta-D-galactopyranosyl-(1-2)-beta-D-Glucopyranosiduronic acid
3-O-(Rhamnopyranosyl-1-2-galactopyranosyl-1-2-glucuronopyranosyl-1-)-22-O-(3'-hydroxy-2'-methyl-5',6'-dihydro-4'-pyrone-6'-)-3,22,24-trihydroxyolean-12-ene
soybean saponin BeA
密度 1.43g/cm3
分子式 C54H84O21
分子量 1069.23000
精确质量 1068.55000
PSA 330.51000
LogP 1.83390
折射率 1.625
本网页内容来自不同专业数据源,如对内容有疑义,欢迎联系service1@chemsrc.com。