1027010-01-0

1027010-01-0 structure
1027010-01-0 structure

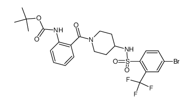
Name tert-butyl (2-{[4-({[4-bromo-2-(trifluoromethyl)phenyl]sulfonyl}amino)piperidin-1-yl]carbonyl}phenyl)carbamate
Molecular Formula C24H27BrF3N3O5S
Molecular Weight 606.45200
Exact Mass 605.08100
PSA 113.19000
LogP 6.88060
The content on this webpage is sourced from various professional data sources. If you have any questions or concerns regarding the content, please feel free to contact service1@chemsrc.com.