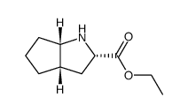
97475-97-3

97475-97-3 structure
97475-97-3 structure
  • Name: ethyl octahydrocyclopenta[b]pyrrole-2-carboxylate
  • Chemical Name: ethyl octahydrocyclopenta[b]pyrrole-2-carboxylate
  • CAS Number: 97475-97-3
  • Molecular Formula: C10H17NO2
  • Molecular Weight: 183.24700
  • Create Date: 2018-02-03 03:16:59
  • Modify Date: 2025-12-02 17:27:24

Name ethyl octahydrocyclopenta[b]pyrrole-2-carboxylate
Synonyms ethyl cis-endo-2-azabicyclo[3.3.0]octane-3-carboxylate
Molecular Formula C10H17NO2
Molecular Weight 183.24700
Exact Mass 183.12600
PSA 38.33000
LogP 1.40890
The content on this webpage is sourced from various professional data sources. If you have any questions or concerns regarding the content, please feel free to contact service1@chemsrc.com.