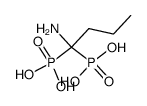
32545-60-1

32545-60-1 structure
32545-60-1 structure
  • Name: aminobutane bisphosphonate
  • Chemical Name: (1-aminobutylidene)bisphosphonic acid
  • CAS Number: 32545-60-1
  • Molecular Formula: C4H13NO6P2
  • Molecular Weight: 233.09700
  • Create Date: 2018-06-11 20:55:11
  • Modify Date: 2025-09-25 13:22:58

Name (1-aminobutylidene)bisphosphonic acid
Synonyms (1-Amino-1-phosphono-butyl)-phosphonic acid
1-Amino-n-butan-1,1-diphosphonsaeure
1-aminobutane-1,1 -diphosphonic acid
Molecular Formula C4H13NO6P2
Molecular Weight 233.09700
Exact Mass 233.02200
PSA 160.70000
LogP 0.45470
The content on this webpage is sourced from various professional data sources. If you have any questions or concerns regarding the content, please feel free to contact service1@chemsrc.com.