104932-60-7

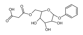
104932-60-7 structure
104932-60-7 structure
  • Name: 4-phenyl-6-O-malonylglucoside
  • Chemical Name: 3-oxo-3-[[(2R,3S,4S,5R,6S)-3,4,5-trihydroxy-6-phenoxyoxan-2-yl]methoxy]propanoic acid
  • CAS Number: 104932-60-7
  • Molecular Formula: C15H18O9
  • Molecular Weight: 342.29800
  • Create Date: 2016-02-09 19:04:40
  • Modify Date: 2025-09-26 12:50:40

Name 3-oxo-3-[[(2R,3S,4S,5R,6S)-3,4,5-trihydroxy-6-phenoxyoxan-2-yl]methoxy]propanoic acid
Synonyms 4-Phenyl-6-O-malonylglucoside
Density 1.51g/cm3
Boiling Point 605.2ºC at 760mmHg
Molecular Formula C15H18O9
Molecular Weight 342.29800
Flash Point 224.8ºC
Exact Mass 342.09500
PSA 142.75000
Vapour Pressure 1.69E-15mmHg at 25°C
Index of Refraction 1.601
The content on this webpage is sourced from various professional data sources. If you have any questions or concerns regarding the content, please feel free to contact service1@chemsrc.com.