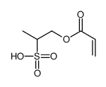
71263-74-6

71263-74-6 structure
71263-74-6 structure
  • Name: 1-prop-2-enoyloxypropane-2-sulfonic acid
  • Chemical Name: 1-prop-2-enoyloxypropane-2-sulfonic acid
  • CAS Number: 71263-74-6
  • Molecular Formula: C6H10O5S
  • Molecular Weight: 194.20600
  • Create Date: 2017-01-24 02:39:30
  • Modify Date: 2025-09-26 11:28:54

Name 1-prop-2-enoyloxypropane-2-sulfonic acid
Synonyms 2-Propenoic acid,2-sulfopropyl ester
Molecular Formula C6H10O5S
Molecular Weight 194.20600
Exact Mass 194.02500
PSA 89.05000
LogP 1.07270
The content on this webpage is sourced from various professional data sources. If you have any questions or concerns regarding the content, please feel free to contact service1@chemsrc.com.