1398534-62-7

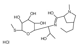
1398534-62-7 structure
1398534-62-7 structure

Name (2S,4R)-N-[(1S)-2-hydroxy-1-[(2S,3R,4S,5R,6R)-3,4,5-trihydroxy-6-methylsulfanyloxan-2-yl]propyl]-1-methyl-4-propylpyrrolidine-2-carboxamide,hydrochloride
Synonyms (2S,4R)-N-{(1S)-2-hydroxy-1-[(2S,3R,4S,5R,6R)-3,4,5-trihydroxy-6-(methylthio)-tetrahydro-2H-2-pyranyl]propyl}-1-methyl-4-propylpyrrolidine-2-carboxamide Hydrochloride
Molecular Formula C18H35ClN2O6S
Molecular Weight 442.99800
Exact Mass 442.19000
PSA 151.28000
LogP 0.72320
The content on this webpage is sourced from various professional data sources. If you have any questions or concerns regarding the content, please feel free to contact service1@chemsrc.com.