Top Suppliers:I want be here

80405-17-0

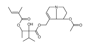
80405-17-0 structure
80405-17-0 structure
  • Name: 7-Acetylscorpioidine
  • Chemical Name: [(7R,8R)-7-acetyloxy-5,6,7,8-tetrahydro-3H-pyrrolizin-1-yl]methyl (2S)-2-hydroxy-3-methyl-2-[1-[(E)-2-methylbut-2-enoyl]oxyethyl]butanoate
  • CAS Number: 80405-17-0
  • Molecular Formula: C22H33NO7
  • Molecular Weight: 423.50000
  • Create Date: 2016-05-23 18:06:45
  • Modify Date: 2024-02-03 23:51:59

Name [(7R,8R)-7-acetyloxy-5,6,7,8-tetrahydro-3H-pyrrolizin-1-yl]methyl (2S)-2-hydroxy-3-methyl-2-[1-[(E)-2-methylbut-2-enoyl]oxyethyl]butanoate
Molecular Formula C22H33NO7
Molecular Weight 423.50000
Exact Mass 423.22600
PSA 102.37000
LogP 1.69850
The content on this webpage is sourced from various professional data sources. If you have any questions or concerns regarding the content, please feel free to contact service1@chemsrc.com.