Top Suppliers:I want be here

155740-22-0

155740-22-0 structure
155740-22-0 structure
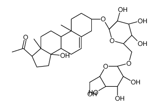
  • Name: carumbelloside I
  • Chemical Name: 1-[(3S,8R,9S,10R,13R,14S,17S)-14-hydroxy-10,13-dimethyl-3-[(2R,3R,4S,5S,6R)-3,4,5-trihydroxy-6-[[(2R,3R,4S,5S,6R)-3,4,5-trihydroxy-6-(hydroxymethyl)oxan-2-yl]oxymethyl]oxan-2-yl]oxy-1,2,3,4,7,8,9,11,12,15,16,17-dodecahydrocyclopenta[a]phenanthren-17-yl]et
  • CAS Number: 155740-22-0
  • Molecular Formula: C33H52O13
  • Molecular Weight: 656.75800
  • Create Date: 2016-04-14 06:20:31
  • Modify Date: 2024-02-26 17:29:35

Name 1-[(3S,8R,9S,10R,13R,14S,17S)-14-hydroxy-10,13-dimethyl-3-[(2R,3R,4S,5S,6R)-3,4,5-trihydroxy-6-[[(2R,3R,4S,5S,6R)-3,4,5-trihydroxy-6-(hydroxymethyl)oxan-2-yl]oxymethyl]oxan-2-yl]oxy-1,2,3,4,7,8,9,11,12,15,16,17-dodecahydrocyclopenta[a]phenanthren-17-yl]et
Synonyms Carumbelloside I
Density 1.43g/cm3
Boiling Point 847.1ºC at 760mmHg
Molecular Formula C33H52O13
Molecular Weight 656.75800
Flash Point 265.2ºC
Exact Mass 656.34100
PSA 215.83000
Vapour Pressure 2.29E-33mmHg at 25°C
Index of Refraction 1.625
The content on this webpage is sourced from various professional data sources. If you have any questions or concerns regarding the content, please feel free to contact service1@chemsrc.com.