647837-58-9

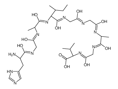
647837-58-9 structure
647837-58-9 structure

Name (2S)-2-[[2-[[(2S)-2-[[2-[[2-[[(2S,3S)-2-[[(2S)-2-[[2-[[(2S)-2-amino-3-(1H-imidazol-5-yl)propanoyl]amino]acetyl]amino]propanoyl]amino]-3-methylpentanoyl]amino]acetyl]amino]acetyl]amino]propanoyl]amino]acetyl]amino]-3-methylbutanoic acid
Synonyms L-Valine,L-histidylglycyl-L-alanyl-L-isoleucylglycylglycyl-L-alanylglycyl
Molecular Formula C31H51N11O10
Molecular Weight 737.80400
Exact Mass 737.38200
PSA 352.72000
LogP 2.93270
The content on this webpage is sourced from various professional data sources. If you have any questions or concerns regarding the content, please feel free to contact service1@chemsrc.com.