862179-57-5

862179-57-5 structure
862179-57-5 structure

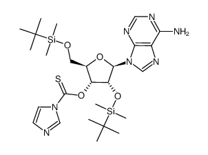
Name O-((2R,3R,4R,5R)-5-(6-amino-9H-purin-9-yl)-4-((tert-butyldimethylsilyl)oxy)-2-(((tert-butyldimethylsilyl)oxy)methyl)tetrahydrofuran-3-yl) 1H-imidazole-1-carbothioate
Molecular Formula C26H43N7O4SSi2
Molecular Weight 605.90000
Exact Mass 605.26400
PSA 156.45000
LogP 5.71420
Precursor  0

DownStream  2

The content on this webpage is sourced from various professional data sources. If you have any questions or concerns regarding the content, please feel free to contact service1@chemsrc.com.