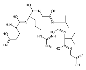
189308-30-3

189308-30-3 structure
189308-30-3 structure

Name 2-[[(2S)-2-[[(2S,3S)-2-[[2-[[(2S)-5-(diaminomethylideneamino)-2-[[(2S)-2,5-diamino-5-oxopentanoyl]amino]pentanoyl]amino]acetyl]amino]-3-methylpentanoyl]amino]-3-methylbutanoyl]amino]acetic acid
Synonyms Glycine,L-glutaminyl-L-arginylglycyl-L-isoleucyl-L-valyl
Molecular Formula C26H48N10O8
Molecular Weight 628.72200
Exact Mass 628.36600
PSA 332.25000
LogP 3.55840
The content on this webpage is sourced from various professional data sources. If you have any questions or concerns regarding the content, please feel free to contact service1@chemsrc.com.