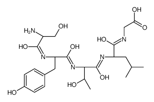
915780-10-8

915780-10-8 structure
915780-10-8 structure

Name 2-[[(2S)-2-[[(2S,3R)-2-[[(2S)-2-[[(2S)-2-amino-3-hydroxypropanoyl]amino]-3-(4-hydroxyphenyl)propanoyl]amino]-3-hydroxybutanoyl]amino]-4-methylpentanoyl]amino]acetic acid
Synonyms Glycine,L-seryl-L-tyrosyl-L-threonyl-L-leucyl
Molecular Formula C24H37N5O9
Molecular Weight 539.57900
Exact Mass 539.25900
PSA 254.37000
LogP 1.39790
The content on this webpage is sourced from various professional data sources. If you have any questions or concerns regarding the content, please feel free to contact service1@chemsrc.com.