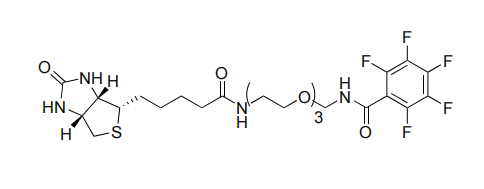
1263044-14-9

1263044-14-9 structure
1263044-14-9 structure
  • Name: Biotin-dPEG3-TFPA
  • Chemical Name: Biotin-dPEG3-TFPA
  • CAS Number: 1263044-14-9
  • Molecular Formula:
  • Molecular Weight: 663.69
  • Create Date: 2021-10-04 11:17:31
  • Modify Date: 2025-08-25 07:31:11

Name Biotin-dPEG3-TFPA
Molecular Weight 663.69
Appearance solid or viscous liquid
The content on this webpage is sourced from various professional data sources. If you have any questions or concerns regarding the content, please feel free to contact service1@chemsrc.com.